AP過去問 令和6年度春期 午前 問52

提供:yonewiki

AP過去問 令和6年度春期 午前 問題に戻る

AP過去問 令和6年度春期 午前 問51前の問題へ

AP過去問 令和6年度春期 午前 問53次の問題へ

 

問52(問題文)

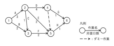
 図のアローダイアグラムで表されるプロジェクトがある。結合点5の最早結合点時刻はプロジェクト開始から第何日か。ここで、プロジェクトの開始日は0日目とする。


AP R6 1Spring AMQ52 Fig1.png


ア 4

イ 5

ウ 6

エ 7

 

回答・解説

 この問題では、結合点5の最早結合点時刻を求めます。最早結合点時刻とは、前段の作業がすべて完了して、次の作業に進むことができる最も早い時刻のことです。

 図をもとにして、結合点1(開始点、時刻0)から順に最早時刻を計算していきます。

 5への経路は以下の3とおりが考えられます。 1→2→4→5

1→2→5

1→3→5


各結合点の最早時刻

結合点1:0日


結合点2:0 + A(3) = 3日


結合点3:0 + B(2) = 2日


結合点4:

2→4:A(3) + D(4) = 7日


結合点5:

2→5:A(3) + C(1) = 4日

3→5:B(2) + F(2) = 4日

4→5(ダミー):(A(3) + D(4) =) 7 + ダミー(0) = 7日


⇒ 最大値:7日


 問題は「結合点5の最早結合点時刻」を聞いており、結論では7日です。

 4→5のダミー作業は依存関係を示すだけで、所要日数は0日です。しかし、このダミーを通じて到達できるようになるのは4の完了後であるため、結合点4の最早時刻(7日)がそのまま結合点5に伝播します。

 一方、他の経路からも結合点5に到達できますが、4→5が最も遅い(=最早時刻として有効な経路)になります。したがって、結合点5の最早結合点時刻は7日となります。


 したがって



 が答えです。

 


AP過去問 令和6年度春期 午前 問51前の問題へ

AP過去問 令和6年度春期 午前 問53次の問題へ

AP過去問 令和6年度春期 午前 問題に戻る